3D Model T transmission project - help needed
Forum rules
If you need help logging in, or have question about how something works, use the Support forum located here Support Forum
Complete set of Forum Rules Forum Rules
If you need help logging in, or have question about how something works, use the Support forum located here Support Forum
Complete set of Forum Rules Forum Rules
-
accuratemodelmaker
Topic author - Posts: 27
- Joined: Wed Jan 14, 2026 12:15 pm
- First Name: Jim
- Last Name: Key
- * REQUIRED* Type and Year of Model Ts owned: 1915
- Location: Woodstock, GA
3D Model T transmission project - help needed
Hello everyone,
After being away for several years, I have decided to renew my membership and return to this forum with what will hopefully be received as a interesting project, worthy of members help.
Years ago I started a plan drawing of the Model T transmission, mostly because I wanted to know how such a simplistic mechanical device actually worked. Over time I grew increasingly interested and started a 3D representation. However, not having all the parts has been difficult to say the least, in obtaining accurate measurements. I had some of the parts from 2015 and recorded what I could then. Much of the remainder has been educated guesswork, and some obtainable info. The ultimate goal with this project is to complete the transmission plan that I started years ago and offer it up anyone who might want such a collectible.
I'd like to request, anyone who has some free time to lend, help with parts measurements. Either contact me here or via my e-mail address customreplicas@att.net. I would state that this is based on the earlier version (around 1915). Hopefully these previews will give some idea of what I'm trying to accomplish.
Many thanks in advance,
Jim Key
Accurate Models
5130 Farm Place Dr.
Woodstock, GA 30188
After being away for several years, I have decided to renew my membership and return to this forum with what will hopefully be received as a interesting project, worthy of members help.
Years ago I started a plan drawing of the Model T transmission, mostly because I wanted to know how such a simplistic mechanical device actually worked. Over time I grew increasingly interested and started a 3D representation. However, not having all the parts has been difficult to say the least, in obtaining accurate measurements. I had some of the parts from 2015 and recorded what I could then. Much of the remainder has been educated guesswork, and some obtainable info. The ultimate goal with this project is to complete the transmission plan that I started years ago and offer it up anyone who might want such a collectible.
I'd like to request, anyone who has some free time to lend, help with parts measurements. Either contact me here or via my e-mail address customreplicas@att.net. I would state that this is based on the earlier version (around 1915). Hopefully these previews will give some idea of what I'm trying to accomplish.
Many thanks in advance,
Jim Key
Accurate Models
5130 Farm Place Dr.
Woodstock, GA 30188
-
varmint
- Posts: 1043
- Joined: Mon Jan 07, 2019 2:02 pm
- First Name: Vernon
- Last Name: Worley
- * REQUIRED* Type and Year of Model Ts owned: October 26, 1926 Coupe
- Location: New Orleans, LA
- Contact:
Re: 3D Model T transmission project - help needed
I would think that obtaining a transmission for the project may be worthwhile. You can always sell it afterward.
Vernon
Vernon
Vern (Vieux Carre)
-
speedytinc
- Posts: 5271
- Joined: Fri Feb 12, 2021 12:24 pm
- First Name: john
- Last Name: karvaly
- * REQUIRED* Type and Year of Model Ts owned: 14/15 wide track roadster. 23 touring, 27 roadster pickup, 20ish rajo touring
- Location: orange, ca
- Board Member Since: 2020
Re: 3D Model T transmission project - help needed
15 transmissions didn't have starter ring gears.
The only part I can identify as actually 15 is the 3 piece triple gears.
You got a long way to go. Pre 16 transmissions are very different to the mostly post 1920 parts I see here.
The only part I can identify as actually 15 is the 3 piece triple gears.
You got a long way to go. Pre 16 transmissions are very different to the mostly post 1920 parts I see here.
-
accuratemodelmaker
Topic author - Posts: 27
- Joined: Wed Jan 14, 2026 12:15 pm
- First Name: Jim
- Last Name: Key
- * REQUIRED* Type and Year of Model Ts owned: 1915
- Location: Woodstock, GA
Re: 3D Model T transmission project - help needed
I based the 1915 on there being two bushings inside the brake drum shaft. Read they changed in 1916. Really no other reason.
When did the starter and ring gear begin? I'm not opposed to dating this correctly, or altering the plan to make this correct.
As to acquiring a Model T transmission to measure off of, the idea has crossed my mind, but simply cannot afford that right now.
Thanks for the opening critique.
Jim Key
When did the starter and ring gear begin? I'm not opposed to dating this correctly, or altering the plan to make this correct.
As to acquiring a Model T transmission to measure off of, the idea has crossed my mind, but simply cannot afford that right now.
Thanks for the opening critique.
Jim Key
-
Dan Hatch
- Posts: 5552
- Joined: Tue Jan 08, 2019 7:31 pm
- First Name: Dan
- Last Name: Hatch
- Location: Alabama
Re: 3D Model T transmission project - help needed
Jim I see your in Woodstock Ga. Email me by forum. I am in zip 35173. I think I can hook you up. Dan
-
speedytinc
- Posts: 5271
- Joined: Fri Feb 12, 2021 12:24 pm
- First Name: john
- Last Name: karvaly
- * REQUIRED* Type and Year of Model Ts owned: 14/15 wide track roadster. 23 touring, 27 roadster pickup, 20ish rajo touring
- Location: orange, ca
- Board Member Since: 2020
Re: 3D Model T transmission project - help needed
accuratemodelmaker wrote: ↑Thu Jan 15, 2026 1:39 pmI based the 1915 on there being two bushings inside the brake drum shaft. Read they changed in 1916. Really no other reason.
Lack of upper bushing(2nd) was done late, 26-7?. 15 had a big brass hat bushing that was part thrust bushing.
The casting is very different dimensionally & visually. Different clutch disk count & a thick spacer.
When did the starter and ring gear begin? I'm not opposed to dating this correctly, or altering the plan to make this correct.
19, but the hat bushing remains.
I would date what you have as 21-25. Not 100% sure off the top of my head when the riveted triple gears were discontinued.
As to acquiring a Model T transmission to measure off of, the idea has crossed my mind, but simply cannot afford that right now.
A CORRECT early transmission is not going to be that easy to acquire.
I am looking for an early brake drum to finish my study. Good ones get reused, bad ones get pitched & replaced with later ones.
Thanks for the opening critique.
I have been recently studying the differences.
There is much disinformation & incorrect information mixed with a few correct facts in past forum posts.
You have to know to recognize what was correctly posted.
Jim Key
-
accuratemodelmaker
Topic author - Posts: 27
- Joined: Wed Jan 14, 2026 12:15 pm
- First Name: Jim
- Last Name: Key
- * REQUIRED* Type and Year of Model Ts owned: 1915
- Location: Woodstock, GA
Re: 3D Model T transmission project - help needed
The earlier brake drum drum is what I am after. I was told they replaced the thrust bearing with 3 washers (.026", .042", .042") to create an .015" to .027" clearance.
If 192something is what I am making, then so be it.
I based the brake drum off ebay shots labeled 1912-1920 or so. I am not making the 25-26 wider brake drum and drive plate.
Will be interesting to see what the members here come up with. I did look at Martin Vowell's drawings as well.
Thanks again,
Jim Key
If 192something is what I am making, then so be it.
I based the brake drum off ebay shots labeled 1912-1920 or so. I am not making the 25-26 wider brake drum and drive plate.
Will be interesting to see what the members here come up with. I did look at Martin Vowell's drawings as well.
Thanks again,
Jim Key
-
speedytinc
- Posts: 5271
- Joined: Fri Feb 12, 2021 12:24 pm
- First Name: john
- Last Name: karvaly
- * REQUIRED* Type and Year of Model Ts owned: 14/15 wide track roadster. 23 touring, 27 roadster pickup, 20ish rajo touring
- Location: orange, ca
- Board Member Since: 2020
Re: 3D Model T transmission project - help needed
"The earlier brake drum drum is what I am after. I was told they replaced the thrust bearing with 3 washers (.026", .042", .042") to create an .015" to .027" clearance."
No.
Part of the misinformation Ive been wading thru.
The hat bushing was replaced by 3 - .042 washers from early 20 on. Clutch hub changed also.(service bulletins)
If you don't have a usable hat bushing for your early rebuild, you can use 2 of the .042 washers & a special .026 washer. That combination replaces the obsolete hat bushing. This is a vendor provided fix. Not OEM as best I can tell.
OR.... you use the 3 thick washers & a later clutch hub. Or you can remove .015" from the early clutch hub thrust surface with the 3 .042" washers.
Gets messy don't it?
No.
Part of the misinformation Ive been wading thru.
The hat bushing was replaced by 3 - .042 washers from early 20 on. Clutch hub changed also.(service bulletins)
If you don't have a usable hat bushing for your early rebuild, you can use 2 of the .042 washers & a special .026 washer. That combination replaces the obsolete hat bushing. This is a vendor provided fix. Not OEM as best I can tell.
OR.... you use the 3 thick washers & a later clutch hub. Or you can remove .015" from the early clutch hub thrust surface with the 3 .042" washers.
Gets messy don't it?
-
accuratemodelmaker
Topic author - Posts: 27
- Joined: Wed Jan 14, 2026 12:15 pm
- First Name: Jim
- Last Name: Key
- * REQUIRED* Type and Year of Model Ts owned: 1915
- Location: Woodstock, GA
Re: 3D Model T transmission project - help needed
Yes, it does. But, I am taking notes and will endeavor to make a plan that reflects what ideal O.E.M.
I suppose then, that shooting for 1920 is perhaps the best shot, or is it 1925?
Is this the correct Clutch disk drum?
Thanks again.
Jim Key
I suppose then, that shooting for 1920 is perhaps the best shot, or is it 1925?
Is this the correct Clutch disk drum?
Thanks again.
Jim Key
-
speedytinc
- Posts: 5271
- Joined: Fri Feb 12, 2021 12:24 pm
- First Name: john
- Last Name: karvaly
- * REQUIRED* Type and Year of Model Ts owned: 14/15 wide track roadster. 23 touring, 27 roadster pickup, 20ish rajo touring
- Location: orange, ca
- Board Member Since: 2020
Re: 3D Model T transmission project - help needed
1920 after April? (my reference material is @ home)-1925 same until the wide drum
"Is this the correct Clutch disk drum?"
This is the most confused part. How to identify.
Since I see ford script on top, I would say, yes, its correct for 20-22?.(late using the 3 thick thrust washers.)
Some time later the back side has a beefer looking casting. Probably 22-27.
As another point, on the 3 washers. The thin one I had & are available look the same OD wise as the thick washers.
"Is this the correct Clutch disk drum?"
This is the most confused part. How to identify.
Since I see ford script on top, I would say, yes, its correct for 20-22?.(late using the 3 thick thrust washers.)
Some time later the back side has a beefer looking casting. Probably 22-27.
As another point, on the 3 washers. The thin one I had & are available look the same OD wise as the thick washers.
-
accuratemodelmaker
Topic author - Posts: 27
- Joined: Wed Jan 14, 2026 12:15 pm
- First Name: Jim
- Last Name: Key
- * REQUIRED* Type and Year of Model Ts owned: 1915
- Location: Woodstock, GA
Re: 3D Model T transmission project - help needed
Okay, getting somewhere. Will add to my notes. Our discussion today has been very enlightening.
Here is the back of my brake drum (thus far). I tried to match the photos of the drum we had.
Having trouble IDing the Drive plate bolts. Says they are 3/8" x 13/16" - 16 TPI - coarse.
Thanks again,
Jim Key
Here is the back of my brake drum (thus far). I tried to match the photos of the drum we had.
Having trouble IDing the Drive plate bolts. Says they are 3/8" x 13/16" - 16 TPI - coarse.
Thanks again,
Jim Key
-
speedytinc
- Posts: 5271
- Joined: Fri Feb 12, 2021 12:24 pm
- First Name: john
- Last Name: karvaly
- * REQUIRED* Type and Year of Model Ts owned: 14/15 wide track roadster. 23 touring, 27 roadster pickup, 20ish rajo touring
- Location: orange, ca
- Board Member Since: 2020
Re: 3D Model T transmission project - help needed
3/8-24. Fine thread. I cant confirm length where I am now.
-
John E. Guitar
- Posts: 535
- Joined: Sun Jan 06, 2019 2:52 pm
- First Name: John
- Last Name: Guitar
- * REQUIRED* Type and Year of Model Ts owned: 1926 Touring, 1924 Tourer
- Location: Ulladulla
- Board Member Since: 2012
Re: 3D Model T transmission project - help needed
Nice work.
I drew up the Model T transmission for a university project back in the nineties using Solidworks 98.
I saved it all to floppy disks which unfortunately have long since disappeared.
I drew up the Model T transmission for a university project back in the nineties using Solidworks 98.
I saved it all to floppy disks which unfortunately have long since disappeared.
-
accuratemodelmaker
Topic author - Posts: 27
- Joined: Wed Jan 14, 2026 12:15 pm
- First Name: Jim
- Last Name: Key
- * REQUIRED* Type and Year of Model Ts owned: 1915
- Location: Woodstock, GA
Re: 3D Model T transmission project - help needed
Thank you. This is a project full of ever changing details, as today pointed out.
I admire anyone who has attempted to recreate this transmission.
Jim Key
I admire anyone who has attempted to recreate this transmission.
Jim Key
-
dykker5502
- Posts: 504
- Joined: Mon Jan 07, 2019 7:01 pm
- First Name: Michael
- Last Name: Deichmann
- * REQUIRED* Type and Year of Model Ts owned: 1914 Touring, 1921 Roadster P/U, 1922 Fordor (danish custom body)
- Location: Rågeleje, Denmark
- Board Member Since: 2007
Re: 3D Model T transmission project - help needed
Can't you get original blueprints from the Benson Ford arhives?
Ford Model T 1914 Touring
Ford Model T 1921 Roadster Pick-up
Ford Model T 1922 Fordor (danish build body)
ECCT, Strobospark, HCCT(Sold), Rebuilding coils
Ford Model T 1921 Roadster Pick-up
Ford Model T 1922 Fordor (danish build body)
ECCT, Strobospark, HCCT(Sold), Rebuilding coils
-
J and M Machine
- Posts: 127
- Joined: Wed Jan 09, 2019 6:46 pm
- First Name: John
- Last Name: Gulbankian
- Location: Massachusetts
- Contact:
Re: 3D Model T transmission project - help needed
Yes: as we had to. Making the drums and gears to their exact dimensions and specifications.dykker5502 wrote: ↑Fri Jan 16, 2026 5:04 amCan't you get original blueprints from the Benson Ford arhives?
You have to pay for them and we had to sign an agreement.
-
accuratemodelmaker
Topic author - Posts: 27
- Joined: Wed Jan 14, 2026 12:15 pm
- First Name: Jim
- Last Name: Key
- * REQUIRED* Type and Year of Model Ts owned: 1915
- Location: Woodstock, GA
Re: 3D Model T transmission project - help needed
I have the general plans from the Henry Ford archives, but did not know there were more detailed plans available from Ford. May I contact you privately to ask who you spoke with at Ford for such info? Not sure I can afford the usage fees right now, but worth checking into. In the meantime, I will just measure actual parts as they become available.
Jim Key
Accurate Models
Jim Key
Accurate Models
-
DHort
- Posts: 2973
- Joined: Sun Jan 06, 2019 1:30 pm
- First Name: Dave
- Last Name: Hjortnaes
- * REQUIRED* Type and Year of Model Ts owned: 24 Speedster, 20 touring
- Location: Men Falls, WI
Re: 3D Model T transmission project - help needed
Have you looked at all of Martin's drawings yet?
I know they are on here somewhere. I just cannot find them right now.
I know they are on here somewhere. I just cannot find them right now.
-
Mike Silbert
- Posts: 361
- Joined: Sat Feb 08, 2020 11:30 pm
- First Name: Mike
- Last Name: Silbert
- Location: Sykesville Md
- MTFCA Life Member: YES
Re: 3D Model T transmission project - help needed
Here is the information on the Vowell Drawings
https://mtfca.com/phpBB3/app.php/gallery/album/5
He also has lots of stuff on his Facebook page, if you belong to Facebook.
I was @ the Cabin Fever Expo (https://www.cabinfeverexpo.com/) over the weekend and there was a 3D printed Model T transmission, a simplified version 2" long
Plus a Model T engine/tranny locked in high gear with moving engine parts.
And a fully moving flathead V8 about 6" long.
I think about doing 3D printed models sometimes but I end up working on the full size functional parts.
There is a box full of 3D printed casting patterns next to my desk for various parts.
And a garage full of real parts and cars needing my attention also
Mike
https://mtfca.com/phpBB3/app.php/gallery/album/5
He also has lots of stuff on his Facebook page, if you belong to Facebook.
I was @ the Cabin Fever Expo (https://www.cabinfeverexpo.com/) over the weekend and there was a 3D printed Model T transmission, a simplified version 2" long
Plus a Model T engine/tranny locked in high gear with moving engine parts.
And a fully moving flathead V8 about 6" long.
I think about doing 3D printed models sometimes but I end up working on the full size functional parts.
There is a box full of 3D printed casting patterns next to my desk for various parts.
And a garage full of real parts and cars needing my attention also
Mike
-
speedytinc
- Posts: 5271
- Joined: Fri Feb 12, 2021 12:24 pm
- First Name: john
- Last Name: karvaly
- * REQUIRED* Type and Year of Model Ts owned: 14/15 wide track roadster. 23 touring, 27 roadster pickup, 20ish rajo touring
- Location: orange, ca
- Board Member Since: 2020
Re: 3D Model T transmission project - help needed
Vowell art incorrectly pictures & denotes the wrong clutch packs listed as 14-16 & 14-17 drawings.
So watch out what you use for references. Those errors will cost potential clutch failure & another motor pull & tear down.
-
accuratemodelmaker
Topic author - Posts: 27
- Joined: Wed Jan 14, 2026 12:15 pm
- First Name: Jim
- Last Name: Key
- * REQUIRED* Type and Year of Model Ts owned: 1915
- Location: Woodstock, GA
Re: 3D Model T transmission project - help needed
Part of what I intended from the start was the possibility of making a "Visible Model T transmission", so that the operation could be understood. Short of that, I may explore Solid works animation of the 3D parts I'm making so that one can observe the action of the low and reverse bands being applied. I haven't see a clear animation showing this yet, just descriptions. 3D models are great proof of concept so long as they are mechanically accurate, and not subject to stresses that only metal can handle.
At the very least, be able to offer a print schematic of the 1922-25 range transmission version, which I'm getting a fast education on. I have looked at Martin's work, which I find to be a nice presentation, but don't have the expertise to know if these are correct depictions of the time periods. I will be looking to have several authorities on Model T parts look over my works, before posting, or offering them to this group.
Case in point, just finished the clutch pack last night, only to find out that the large disk were originally circular with 2 flat sides. Will have to correct those going forward.
Jim Key
Accurate Models
At the very least, be able to offer a print schematic of the 1922-25 range transmission version, which I'm getting a fast education on. I have looked at Martin's work, which I find to be a nice presentation, but don't have the expertise to know if these are correct depictions of the time periods. I will be looking to have several authorities on Model T parts look over my works, before posting, or offering them to this group.
Case in point, just finished the clutch pack last night, only to find out that the large disk were originally circular with 2 flat sides. Will have to correct those going forward.
Jim Key
Accurate Models
-
Mike Silbert
- Posts: 361
- Joined: Sat Feb 08, 2020 11:30 pm
- First Name: Mike
- Last Name: Silbert
- Location: Sykesville Md
- MTFCA Life Member: YES
Re: 3D Model T transmission project - help needed
The 6 flat sided disks are the "26-27" style and also sold as replacement parts later in production.
They are also required when using the replaceable lug up to '25 drums.
The brand new drums being made require these.
You drew a valid Ford part, just not the target year.
99% of the Model T parts changed between car #1 and car #15 million.
Plus owners and mechanics have been mixing them up for 100+ years now.
The finer details of the Model T is a tough study
Finding someone with experience and parts near to you might help limit the confusion.
The Southern Peach T's chapter is near you
https://www.mtfca.com/chapters/#ga
Mike
They are also required when using the replaceable lug up to '25 drums.
The brand new drums being made require these.
You drew a valid Ford part, just not the target year.
99% of the Model T parts changed between car #1 and car #15 million.
Plus owners and mechanics have been mixing them up for 100+ years now.
The finer details of the Model T is a tough study
Finding someone with experience and parts near to you might help limit the confusion.
The Southern Peach T's chapter is near you
https://www.mtfca.com/chapters/#ga
Mike
-
accuratemodelmaker
Topic author - Posts: 27
- Joined: Wed Jan 14, 2026 12:15 pm
- First Name: Jim
- Last Name: Key
- * REQUIRED* Type and Year of Model Ts owned: 1915
- Location: Woodstock, GA
Re: 3D Model T transmission project - help needed
I would appreciate getting some help clarifying these different clutch disk drums.
Thanks,
Jim Key
Accurate Models
Thanks,
Jim Key
Accurate Models
-
speedytinc
- Posts: 5271
- Joined: Fri Feb 12, 2021 12:24 pm
- First Name: john
- Last Name: karvaly
- * REQUIRED* Type and Year of Model Ts owned: 14/15 wide track roadster. 23 touring, 27 roadster pickup, 20ish rajo touring
- Location: orange, ca
- Board Member Since: 2020
Re: 3D Model T transmission project - help needed
B) 6 holes would be early, like 14,15 & earlier. Probably DB marked.
A) Ford script on top side (Post brass hat thrust. 3 washers) Post early '20.
C) Ford script. Hard to tell, but looks like a heavier casting. Back side is heavier with a chamfer to the thrust surface. Look on the back.
This would be later than A. Most common type found today. This one fits your 22-25 range.
Happy to see you figured out the clutch disk difference. That would have been my next comment/edit.
A) Ford script on top side (Post brass hat thrust. 3 washers) Post early '20.
C) Ford script. Hard to tell, but looks like a heavier casting. Back side is heavier with a chamfer to the thrust surface. Look on the back.
This would be later than A. Most common type found today. This one fits your 22-25 range.
Happy to see you figured out the clutch disk difference. That would have been my next comment/edit.
-
RajoRacer
- Posts: 5600
- Joined: Sun Jan 06, 2019 12:18 pm
- First Name: Steve
- Last Name: Tomaso
- * REQUIRED* Type and Year of Model Ts owned: 1914 Touring, 1919 Centerdoor, 1924 TT C-Cab Express, 1925 Racer
- Location: Longbranch, WA
- Board Member Since: 2001
Re: 3D Model T transmission project - help needed
Point of clarity: I believe the clutch drum with the 6 holes along the OUTSIDE is an "early" drum which would have been used with the "early" brake drum using the "top hat" style bushing & 2 steel thrust washers.
-
accuratemodelmaker
Topic author - Posts: 27
- Joined: Wed Jan 14, 2026 12:15 pm
- First Name: Jim
- Last Name: Key
- * REQUIRED* Type and Year of Model Ts owned: 1915
- Location: Woodstock, GA
Re: 3D Model T transmission project - help needed
I just did a look at each parts catalog from 1909 to 1929 and found these years as presentation and order of presentation.
Jim Key
Jim Key
-
speedytinc
- Posts: 5271
- Joined: Fri Feb 12, 2021 12:24 pm
- First Name: john
- Last Name: karvaly
- * REQUIRED* Type and Year of Model Ts owned: 14/15 wide track roadster. 23 touring, 27 roadster pickup, 20ish rajo touring
- Location: orange, ca
- Board Member Since: 2020
Re: 3D Model T transmission project - help needed
The top hat style bushing is the thrust washer. There are no additional steel washers used.(originally)
Not all early clutch hubs have 6 holes.(pre '20) Not all 2 hole hubs are post '20. There is that period from about '15 to early '20 that have the 2 holes & the smaller thrust surface for use with the top hat bushing. There is the period from early '20 to around '21ish that have no Ford script, but fit correctly with the 3 steel washers. The 6 hole I have is DB marked.
The top hat bushing was used until early '20
Early brake drums that require a distance plate & 26 disks were used thru early '16.
The above information comes from service bulletins, period documents some from past posts & observation with measurement.
-
speedytinc
- Posts: 5271
- Joined: Fri Feb 12, 2021 12:24 pm
- First Name: john
- Last Name: karvaly
- * REQUIRED* Type and Year of Model Ts owned: 14/15 wide track roadster. 23 touring, 27 roadster pickup, 20ish rajo touring
- Location: orange, ca
- Board Member Since: 2020
Re: 3D Model T transmission project - help needed
Just looking @ B. A 14 clutch hub is different in the thrust face clearance than a '24.accuratemodelmaker wrote: ↑Tue Jan 20, 2026 4:43 pmI just did a look at each parts catalog from 1909 to 1929 and found these years as presentation and order of presentation.
Jim Key
Clutch disc drum variations 2.jpg
I do believe all of them will fit any year transmission/brake drum & center shaft.
The difference is in the amount of thrust washer thickness thats needed to maintain the thrust spec.
You could use an early hub in a 27 transmission drum, but you would need a thinner thrust washer pack OR remove .015 off the hubs thrust surface.
-
RajoRacer
- Posts: 5600
- Joined: Sun Jan 06, 2019 12:18 pm
- First Name: Steve
- Last Name: Tomaso
- * REQUIRED* Type and Year of Model Ts owned: 1914 Touring, 1919 Centerdoor, 1924 TT C-Cab Express, 1925 Racer
- Location: Longbranch, WA
- Board Member Since: 2001
Re: 3D Model T transmission project - help needed
O.K. John - you seem be more versed than I.
-
accuratemodelmaker
Topic author - Posts: 27
- Joined: Wed Jan 14, 2026 12:15 pm
- First Name: Jim
- Last Name: Key
- * REQUIRED* Type and Year of Model Ts owned: 1915
- Location: Woodstock, GA
Re: 3D Model T transmission project - help needed
After further R&D, and re-reading Trent B's post from years ago, I think I am closer to the truth today with these clutch drums.
Benson archives mentions a T-725 (1909) and T-725B (after 1909).
Jim Key
Accurate Models
Benson archives mentions a T-725 (1909) and T-725B (after 1909).
Jim Key
Accurate Models
-
accuratemodelmaker
Topic author - Posts: 27
- Joined: Wed Jan 14, 2026 12:15 pm
- First Name: Jim
- Last Name: Key
- * REQUIRED* Type and Year of Model Ts owned: 1915
- Location: Woodstock, GA
Re: 3D Model T transmission project - help needed
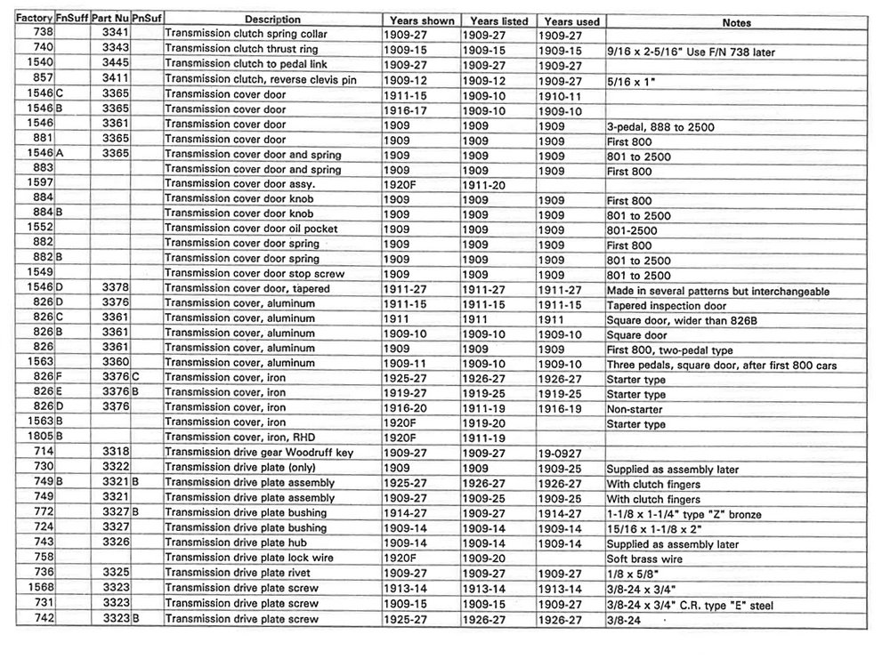
Here are the 4 pages from the Henry Ford Benson archives, listing each Model T transmission part, years in service, and variants. I found this to be of excellent clarity for defining the parts. Thought it might be helpful to share, if they haven't already been posted.
Jim Key
Accurate Models
Jim Key
Accurate Models
-
speedytinc
- Posts: 5271
- Joined: Fri Feb 12, 2021 12:24 pm
- First Name: john
- Last Name: karvaly
- * REQUIRED* Type and Year of Model Ts owned: 14/15 wide track roadster. 23 touring, 27 roadster pickup, 20ish rajo touring
- Location: orange, ca
- Board Member Since: 2020
Re: 3D Model T transmission project - help needed
Some of the information matches my findings. Some are in error?
751B lists the 1 piece type '17-'27 Also listing the 3 piece type '09-"21 (4 years MFG both??)
725B listed as '09-'27. (thrust surfaces are different '20-'27)
Distance plate usage & hat brake bushing use do coincide with service bulletin notices.
Aluminum HH's claim to be the same '11-'15. We know there are reinforcements added around mount holes for '15.
Thanks for posting this info. Ill sift thru it.
751B lists the 1 piece type '17-'27 Also listing the 3 piece type '09-"21 (4 years MFG both??)
725B listed as '09-'27. (thrust surfaces are different '20-'27)
Distance plate usage & hat brake bushing use do coincide with service bulletin notices.
Aluminum HH's claim to be the same '11-'15. We know there are reinforcements added around mount holes for '15.
Thanks for posting this info. Ill sift thru it.
Last edited by speedytinc on Thu Jan 22, 2026 10:29 am, edited 1 time in total.
-
Mike Silbert
- Posts: 361
- Joined: Sat Feb 08, 2020 11:30 pm
- First Name: Mike
- Last Name: Silbert
- Location: Sykesville Md
- MTFCA Life Member: YES
Re: 3D Model T transmission project - help needed
I don't know how accurate this is, but maybe it will help you or others
I stumbled on this looking for something else and it is not my work.
They have the entire engine and transmission in SolidWorks
https://engineeringdl.com/project/ford- ... olidworks/
I lost access to SolidWorks when work shut down.
Mike
I stumbled on this looking for something else and it is not my work.
They have the entire engine and transmission in SolidWorks
https://engineeringdl.com/project/ford- ... olidworks/
I lost access to SolidWorks when work shut down.
Mike
-
accuratemodelmaker
Topic author - Posts: 27
- Joined: Wed Jan 14, 2026 12:15 pm
- First Name: Jim
- Last Name: Key
- * REQUIRED* Type and Year of Model Ts owned: 1915
- Location: Woodstock, GA
Re: 3D Model T transmission project - help needed
I looked at that file years ago, even downloaded it to check it. This is really simplified and has a many inaccuracies in it. So, I put it aside and decided to create my own, that is at least derived from the actual parts. I cannot really comment about the engine and case, as I have not studied it closely.
Thanks,
Jim Key
Accurate Models
Thanks,
Jim Key
Accurate Models
-
accuratemodelmaker
Topic author - Posts: 27
- Joined: Wed Jan 14, 2026 12:15 pm
- First Name: Jim
- Last Name: Key
- * REQUIRED* Type and Year of Model Ts owned: 1915
- Location: Woodstock, GA
Re: 3D Model T transmission project - help needed
I'm wondering if someone can give me a few quick measurements on the earlier Drive-plate bolts - 3/8" x 24" x 3/4" or however long they are. Here are the key dims needed.
Thanks in advance,
Jim Key
Accurate Models
Thanks in advance,
Jim Key
Accurate Models
-
accuratemodelmaker
Topic author - Posts: 27
- Joined: Wed Jan 14, 2026 12:15 pm
- First Name: Jim
- Last Name: Key
- * REQUIRED* Type and Year of Model Ts owned: 1915
- Location: Woodstock, GA
Re: 3D Model T transmission project - help needed
I got some interesting information today regarding transmission parts and variations. 3 drawings in particular reveal quite a bit about the transmission Brake Drum and shaft. On the shaft, the earlier version does not have the 30 degree bevel on the flange that connects to the drum. The later does.
The earliest version of the Brake Drum (narrow T-709), which I refer to as "A1", was drawn up April, 1908. It has revisions in '09, '11, '13, '14, and presumably into 1915/16. The openings for oil are located between the lugs. Did this primarily run from 1909 - 1915/16?
The T-729 Distance Plate was initially drawn up in 1908, and there are revisions for it in '09, '12, '13, & '16. It is not shown on the above T-709 (A1) part drawing. There is also a T-729 R drawing for replacement parts dated in 1919.
The Brake Drum was then redesigned in Dec. 1916, with revisions in '20, '21, & '22 - making it "A2". The openings are now larger and centered between the lugs. The strangest one I found is shown center with a riveted ring (distance plate?) This is the same practical piece of metal that is then machined out of the 1916 design, and carried over into the 1926-27 design. There is also a T-750 (assembly) "AR" drawing dated Sept. 1925 for repair and replacement parts. The entire assembly with shaft is listed as T-750. One would presume this 2nd version ran from 1916 - 1925
The wider T-709 "B" was created in 1925, and there are drawings for June & August 1925. It has been listed as 1926-27
The High Hat bronze bearing (T-769) can be seen in the original 1908 Brake Drum shaft drawing and there are shaft drawing revisions '08, '09, '11, '12, '14, and 3 in 1916.
I see that Martin Vowell did an thorough examination of the brake drum years ago. I have no desire to challenge that presentation. Rather, to present what I found today on my way towards exploring the R&D for my 3D project. The image presented with this finding, is meant to raise awareness and further comments from those who may have better knowledge. My observation is that the Brake Drum went through several major design revisions, mostly to get the best result from larger oil holes, better lugs and the best thrust clearances.
Jim Key
Accurate Models
The earliest version of the Brake Drum (narrow T-709), which I refer to as "A1", was drawn up April, 1908. It has revisions in '09, '11, '13, '14, and presumably into 1915/16. The openings for oil are located between the lugs. Did this primarily run from 1909 - 1915/16?
The T-729 Distance Plate was initially drawn up in 1908, and there are revisions for it in '09, '12, '13, & '16. It is not shown on the above T-709 (A1) part drawing. There is also a T-729 R drawing for replacement parts dated in 1919.
The Brake Drum was then redesigned in Dec. 1916, with revisions in '20, '21, & '22 - making it "A2". The openings are now larger and centered between the lugs. The strangest one I found is shown center with a riveted ring (distance plate?) This is the same practical piece of metal that is then machined out of the 1916 design, and carried over into the 1926-27 design. There is also a T-750 (assembly) "AR" drawing dated Sept. 1925 for repair and replacement parts. The entire assembly with shaft is listed as T-750. One would presume this 2nd version ran from 1916 - 1925
The wider T-709 "B" was created in 1925, and there are drawings for June & August 1925. It has been listed as 1926-27
The High Hat bronze bearing (T-769) can be seen in the original 1908 Brake Drum shaft drawing and there are shaft drawing revisions '08, '09, '11, '12, '14, and 3 in 1916.
I see that Martin Vowell did an thorough examination of the brake drum years ago. I have no desire to challenge that presentation. Rather, to present what I found today on my way towards exploring the R&D for my 3D project. The image presented with this finding, is meant to raise awareness and further comments from those who may have better knowledge. My observation is that the Brake Drum went through several major design revisions, mostly to get the best result from larger oil holes, better lugs and the best thrust clearances.
Jim Key
Accurate Models