Ford's first production four cylinder car, the Model B, compared with other 1905 cars

Discuss all things Model T related.
Forum rules
If you need help logging in, or have question about how something works, use the Support forum located here Support Forum
Complete set of Forum Rules Forum Rules
User avatar

Topic author
Rob
Posts: 1596
Joined: Fri Jan 04, 2019 1:53 pm
First Name: Rob
Last Name: Heyen
* REQUIRED* Type and Year of Model Ts owned: Models B, F, K, N, Ford racer and 3 Model T
Location: Eastern Nebraska

Ford's first production four cylinder car, the Model B, compared with other 1905 cars

Post by Rob » Sat Jul 02, 2022 3:15 pm

Beginning with his racers, Henry Ford recognized the importance of horsepower to weight ratio. His first racers were no fluff, all motor and no creature comfort "space eaters," evidenced by Arrow and 999, the 20 hp "skeleton racer," a creation made up of two 1904 Model A 10 hp motors, and his 1100 hundred cubic inch six cylinder racer. This carried over to Ford production models, including Model K and T, which both had about 54 lbs. per horsepower ratio each, both high horsepower to weight ratios for cars of the day.

The 1905 Model B, introduced in October 1904, was advertised in this mold. As this early 1905 "Motor Age" advertisement states, "THIS CAR HAS MORE POWER FOR ITS WEIGHT THAN ANY OTHER CAR IN THE WORLD:"

E25D0FA4-C1AA-4DC4-82E3-DE0F6E8DE1A4.jpeg

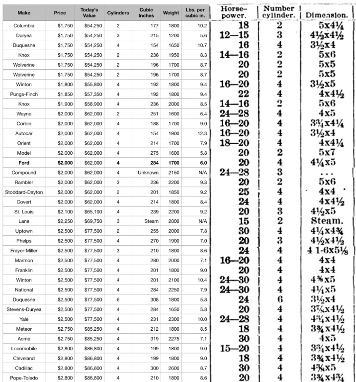
Did it? Below is an excerpt from a "Motor World" list of 1905 automobile specifications, with spreadsheet added. Because horsepower ratings of the day were all over the board, I've added engine displacements. In automobiles costing $1,700 to $3,700, the Ford Model B possessed one of the best weight to displacement ratios among it's peers (click on the attachment to enlarge). A second price column is added, showing what today's dollars equate to the 1905 retail price:

EA2CD185-0B5D-4778-9F89-3244D3589216.jpeg

Closeup- the Model B also boasted one of the largest motors of any car costing less than $3,000 on the market.

D240B0A6-E452-46F1-BBFE-35F81A202725.jpeg

The question remains, how did the Model B do compared with other cars in it's class? And, maybe more importantly, how did it fare compared with the other two Ford models for 1905, "C" and "F" in terms of production and profitability?